博彩网大全-双色球博彩知识_百家乐园有限公司_全讯网新闻(中国)·官方网站

北理工課題組在光場調控和高容量拓撲編碼研究方面取得重要進展


日前,北京理工大學物理學院張向東教授課題組和西北工業大學物理科學與技術學院的趙建林教授課題組合作,在基于嵌套紐結結構高容量拓撲編碼研究方面取得重要進展。相關研究成果發表在近期的Nature Communications上,研究工作得到了國家自然科學基金委和國家重點研發計劃的資助。北京理工大學物理學院孔令軍研究員,張蔚暄博士(現集成電路與電子學院特立博士后)和西北工業大學的李鵬副教授為論文的共同第一作者。

扭結,是生活中普遍存在的現象。比如,打結的鞋帶、用于捆綁物體的繩索結、中國結、蝴蝶扣等都可看作是扭結結構。在數學語言中,紐結理論是拓撲學的一個分支。它研究的是一個或若干個閉合曲線在三維歐幾里得空間中的嵌入方式。拓撲學中,在不斷開構成扭結的閉合曲線的約束下,如果兩個扭結可以通過閉合曲線的連續形變互相轉化,那么這兩個扭結就是拓撲等價的。扭結的拓撲特性可以用相應的拓撲不變量來描述。由于紐結結構具有獨特的拓撲穩定性,它在日常生活以及物理學和生命科學等領域的研究中都扮演著重要的角色。

人們對扭結結構的使用也有著悠久的歷史。最早可以追溯到遠古的結繩紀事,它是人類用于記錄信息的原始工具之一。利用數學語言來研究紐結是德國數學家卡爾·弗里德里希·高斯最早提出的。十九世紀末,拓撲學的產生使得紐結理論成為熱點研究課題。目前,科學家在等離子體、量子與經典流體、量子與經典場論、液晶、聲波等多種體系中都實現了不同拓撲結構的紐結。在電磁場系統中,由相位渦旋或偏振奇點構成的全光紐結也在實驗上得到了驗證。近期的研究表明,利用偏振光學紐結可以實現魯棒的拓撲全光編碼。然而,目前所使用的紐結結構中只包含了少量的拓撲不變量。因此,基于全光紐結的拓撲編碼的信息容量仍然十分有限。如何提高拓撲編碼的信息容量亟待進一步地研究。

研究亮點之一:嵌套紐結概念的提出和紐結理論的拓展

首先,研究人員理論設計了具有多拓撲不變量的嵌套式紐結結構。圖1顯示了構建嵌套式紐結的示意圖。其中,圖1a是該嵌套式紐結的辮子表示,它包含了由綠色、紅色和藍色標記的三類不同層級的零點線。為了更清楚地顯示嵌套紐結的層級結構,圖1b展示了起始端面的放大圖。從中我們可以看到,半徑為 r 1的第一代辮子由綠色、紅色和藍色標記的三條第二帶辮子編織而成。同時,三條半徑為 r 2的第二代辮子是由半徑尺寸更小的第三代辮子編織而成。而半徑為 r 3的第三代辮子是由半徑為 r 4的第四代辮子編織而成。通過上述嵌套式的編織方式,最終具有分形幾何結構的嵌套紐結可以被構建出來。如圖1c所示,通過將圖1a中辮子的起始端平面和終點端平面收尾相連,可以實現由四代辮子組成的嵌套紐結結構。由于這一新型的紐結結構具有分形式的嵌套結構,研究者稱其為嵌套紐結(nested knots)。嵌套紐結這一概念的提出,是對紐結理論的拓展。

下面給出了嵌套紐結的簡要數學描述。需要強調的是:嵌套紐結的每一條零點線都需要其所隸屬的不同層級辮子的坐標來整體表示。因此,需要用一組向量來標記每條零點線的位置。具體來講,第 i 代辮子的每條零點線的坐標包含了其所隸屬的第1到第 i 代辮子的標號,即。這樣第 i 帶辮子的每條零點線都可以用長度為 i 的向量來標記。在辮子表象坐標系中,向量所對應的第 i 代辮子的零點線可以表示為:

上式中的表示向量所對應的零點線的初始旋轉角度。被命名為相應零點線的繞數,代表該零點線以其所隸屬的第 l 代辮子的中心軸為參考的環繞圈數。由于該環繞數不依賴于線條的具體形狀,只由全局環繞的圈數決定。因此,繞數對應于向量所標記的零點線的拓撲不變量。

圖1. 嵌套紐結理論設計示意圖。

研究亮點之二:高容量拓撲編碼的實現

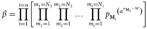
正如圖1a所示,這種新型的嵌套紐結所對應的辮子結構可以包含不同層級的多條零點線。而每一條零點線都蘊含著一個拓撲不變量------繞數。研究人員使用這些拓撲不變量作為信息的載體,設計了具有高容量的拓撲編碼方案,如圖2a所示。首先,信息的發送者Alice把她要發送的信息轉換為一組繞數,并計算繞數的總和。然后,Alice選擇一個正整數 α 和一個素數組,并用下列等式計算 β

4.png

同時,生成一個嵌套結構Nk,并使得Nk中所包含的繞數的集合正好是。Alice將( α, β )和Nk實時發送給信息的接收者Bob。Bob收到這些數據后,先根據算出;然后,通過素數分解得到繞數,并進一步獲得Alice要發送的信息。

該拓撲編碼方案的容量正比于嵌套紐結中所包含的拓撲不變量的數目。拓撲不變量的數量與該嵌套紐結所包含的辮子結構的代數的關系顯示在圖2b中。當嵌套紐結包含10代辮子,且每一代中的每一條辮子包含10條零點線時,該嵌套紐結將蘊含有1.11×1010個拓撲不變量。

圖2. 基于嵌套紐結的高容量拓撲編碼。

研究亮點之三:基于介質超表面全光嵌套紐結產生

進一步,研究人員在實驗上對全光嵌套紐結進行了驗證。相比于傳統的紐結結構,嵌套紐結的空間構型更加復雜。因此,在單一波長下構造嵌套紐結變得十分困難。為了解決這一問題,研究人員引入了波長自由度,通過對三個波長的電磁波進行操控實現了全光嵌套紐結。然而傳統的光學器件很難實現對多波長的獨立操控。為了解決這一難題,研究人員設計了超表面全息圖(如圖3所示),對三個頻率的電磁場相位奇點進行了精確的調控,在實驗上實現了全光嵌套紐結。圖4a-4c為含有一代辮子的嵌套紐結的實驗結果;圖4d-4f為相應的理論結果。圖4g,4h為包含有兩代辮子的嵌套紐結結構的實驗結果;圖4i,4j為相應的理論結果。實驗結果和理論結果一致,驗證了基于嵌套紐結的高容量拓撲編碼的可行性。未來通過引入更多頻率的電磁場以及不同的偏振自由度,可以實現具有更多代辮子編織而成的嵌套紐結結構。從而為設計全光、高容量、魯棒的編碼方案提供有價值的參考。

圖3. 用于生成光學嵌套紐結的超表面全息設計。

圖4. 光學嵌套紐結的實驗結果與理論模擬結果。

論文鏈接為:https://www.nature.com/articles/s41467-022-30381-w。


分享到:

有24天星名的罗盘| 金地太阳城二手房| 百家乐如何投注技巧| 百家乐平注法到65| 机器百家乐作弊| 永利赌场| 百家乐官网赌博千术| 喜来登百家乐的玩法技巧和规则| 开心8百家乐官网现金网| 太阳城百家乐网址--| 深州市| 百家乐优博娱乐城| 太阳城娱乐城88| 网上百家乐官网是叫九五至尊么| 百家乐庄闲比率| 真钱扎金花| 网络百家乐的破解| 观塘区| 属鼠做生意办公桌摆貔貅好不好| 新葡京娱乐城网站| qq百家乐网络平台| 温州百家乐官网真人网| 百家乐官网娱乐优惠| KK娱乐城| 微信百家乐官网群规则大全| 海晏县| 百家乐在线投注网| 百家乐官网平台哪个比较安全| 大发888心水论坛| 最新百家乐网评测排名| 如何看百家乐官网的玩法技巧和规则| 新葡京官网| 威尼斯人娱乐城官网lm0| 百家乐技巧阅读| 至尊百家乐官网停播| 必发娱乐| 大发888游戏平台103| 百家乐多少钱| 属鸡和属猪做生意好吗| 百家乐官网做庄家必赢诀窍| 百家乐官网怎么样玩|